概述:本文通過分析總結4項關于干細胞在慢性阻塞性腎病中的應用的文獻,從而評估干細胞移植作為慢性阻塞性腎病患者的潛在治療方法的安全性和有效性,重點介紹了干細胞治療慢性阻塞性腎病的臨床效果有哪些。
慢性阻塞性肺病是一種炎癥性肺病,會導致氣流逐漸阻塞。長期接觸刺激物會導致慢性阻塞性肺病,主要是香煙煙霧、污染的空氣、有毒煙霧和灰塵。雖然吸煙者的風險很高,但這種疾病也會影響非吸煙者。
慢性阻塞性肺病的癥狀包括呼吸困難、嚴重的咳嗽和喘息。慢性阻塞性肺病會增加患者患心臟病、肺癌和許多其他嚴重疾病的風險。這種疾病可以通過適當的管理來治療。通過及時治療,大多數人可以過上無癥狀的生活,并減少其他相關疾病的發病率。
- 相關閱讀請瀏覽(慢性阻塞性肺病是什么?及其治療方法)

慢性阻塞性肺病治療方法
目前,慢性阻塞性肺病的治療方法包括:括藥物治療、生活方式改變、外科手術以及新興的干細胞治療。遺憾的是,這些方法并非對每個患者都有效,更重要的是:
盡管傳統藥物治療可以緩解慢性阻塞性肺病癥狀,但通常無法逆轉肺功能的損害或阻止疾病的進展。長期使用吸入性皮質激素和支氣管擴張劑等藥物可能導致局部和全身性副作用,如口腔念珠菌感染和骨骼密度下降。并且肺康復是一個綜合性的治療方法,旨在提高患者的生活質量和運動能力,但其效果因個體差異而異,且不能逆轉肺功能的喪失。
慢阻肺治療的新希望,94例患者證實干細胞治療慢性阻塞性肺病安全有效!
近年來,隨著再生醫學的發展,干細胞治療慢性阻塞性肺病作為一種新興的治療方法,利用干細胞的自我更新和分化潛能,為慢性阻塞性肺病患者提供新的修復策略。
①臨床試驗一:干細胞治療慢性阻塞性肺病的安慰劑對照隨機試驗
2013年6月,佛蒙特肺臟中心在國際期刊《CHEST?》上發表了一篇關于《間充質干細胞治療慢性阻塞性肺病的安慰劑對照隨機試驗》的研究成果。【1】

62名來自6個研究中心的患者被隨機分配接受雙盲靜脈輸注同種異體MSCs(Prochymal;Osiris Therapeutics Inc)或載體對照。
有效性:肺功能測試或生活質量指標沒有顯著差異;然而,在接受MSCs治療且在研究開始時CRP水平升高的患者中,循環C反應蛋白 (CRP) 水平早期顯著下降。
安全性:沒有出現輸注毒性,也沒有出現與MSC給藥相關的死亡或嚴重不良事件。
結論:對于中度至重度COPD患者來說,全身性干細胞治療是安全的,并為后續的細胞治療研究提供了基礎。
②臨床試驗二:干細胞移植治療慢性阻塞性肺疾病的臨床研究
2015年9月15日,福建醫科大學附屬第二醫院在《海峽藥學 》上發表了一篇關于《干細胞移植治療慢性阻塞性肺疾病的臨床研究》的研究成果。【2】

本次研究納入2013年1月至2013年12月福建醫科大學附屬第二醫院2例慢性阻塞性肺病患者,均為男性,年齡分別為 71周歲、81周歲。
有效性評估
統計分析結果從表1、表2可看出對比治療前后的傳統肺功能檢查提示 FEV1 、FEV1 /pred( % ) 指標無明顯好轉,而生活質量評分較治療前改善。

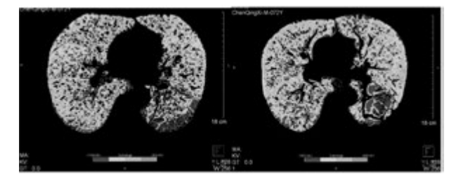
從表3、表4提示,CT 值在-1000 至-951 比例有所下降,Class4( % ) 亦明顯下降,故肺氣腫較治療前好轉。

下圖為雙源CT肺實質分析軟件,深藍色表示CT值在-1000 至-951,治療后較治療前深藍色面積明顯縮小。

安全性評估:未觀察到移植相關不良事件。
綜上所述,研究中有2例慢性阻塞性肺疾病在應用重組人粒細胞集落刺激因子動員干細胞治療2~3周期后,三維CT測量肺功能指標有所改善。
結論:重組人粒細胞集落刺激因子動員干細胞治療慢性阻塞性肺疾病是一種安全有效的方法,值得臨床推廣。
③臨床試驗三:重度肺氣腫患者進行自體間充質細胞治療的I期研究
2016年5月,荷蘭萊頓大學醫學中心肺病學系在國際醫學雜志《QJM》上發表了一篇關于《對重度肺氣腫患者進行靜脈自體間充質基質細胞治療的I期研究》的研究成果。【3】
重度肺氣腫通常是慢性阻塞性肺疾病(COPD)的一種表現。

本次研究納入了10名將接受肺減容手術 (LVRS) 的嚴重COPD患者。
有效性評估
1.臨床參數和隨訪結果評估
- 在12個月的隨訪中,? 與基線相比,FEV1增加了390 ml±240ml(P=0.03)。
- 殘余容量減少540±145ml(P=0.053),氣體交換無顯著差異。
- 第一次LVRS前和第二次LVRS后1年胸部CT掃描獲得的15百分位點(Perc15)的CT衍生肺密度差異為 7.3±4.3g/l(P=0.013)。
- 所有患者的體重均顯著增加,平均增加4.6公斤(范圍1–10公斤;P=0.016)(圖 2)。

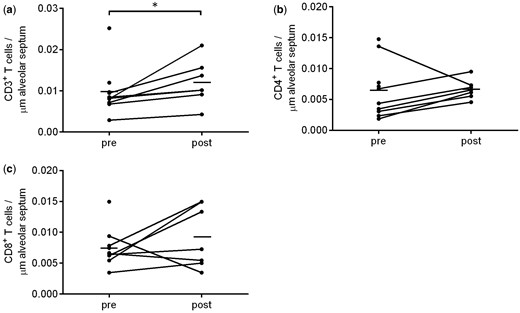
2.免疫組織化學分析
LVRS+BM-MSC輸注后,肺泡隔內的CD31?+?(內皮細胞)面積增加了3倍(P=0.016),已根據肺泡隔長度和總肺泡面積進行校正(圖3a和b)。歷史對照的肺泡隔中CD31表達沒有顯著變化。SP-C(肺泡II型細胞)未見變化(圖3c)。

LVRS+BM-MSC輸注后,肺泡隔中CD3+T細胞的數量明顯高于之前 (?P=0.016) (圖4a )。
除一名患者外,所有患者在LVRS+BM-MSC輸注后,肺泡隔中CD4+?T細胞的數量均有所增加( P=0.30;按倍數變化計算P=0.047) (圖4b)

安全性評估:患者未報告任何與輸注相關的癥狀。
綜上所述,自體間充質干細胞治療重度肺氣腫是可行且安全的。LVRS和MSC治療后CD31表達增加表明肺部受累最嚴重部位的微血管內皮細胞具有反應性。
④臨床試驗四:臍帶間充質干細胞移植治療慢性阻塞性肺病臨床研究
2020年2月13日,越南胡志明市范行總醫院在行業期刊《干細胞研究與治療》上發表了一篇關于《同種異體臍帶間充質干細胞移植治療慢性阻塞性肺病:一項初步臨床研究》的研究成果。【4】

共有20名患者入組。根據??全球阻塞性肺病倡議 (GOLD) 分類,9名患者為C期,11名患者為D期。
有效性評估
1.根據GOLD分期進行治療前和隨訪期間的臨床結果評估
- 治療前(34%) 和治療后1(35%)、3 (33.0%) 和6(33.5%) 個月的FEV1均略有改變 (p>0.05)。
- 平均CRP水平從治療前的3.3mg/dL分別下降到治療后1、3和6個月的2.2、2.4和2.3 (mg/dL)。
- 6MWT從治療前的360.0分別增加到治療后1、3 和 6 個月的380、360.0和380.0 (p>0.05)。
- 與治療前相比,治療后1、3 和6個月的mMRC、CAT評分和發作次數均顯著下降,且這種下降趨勢在治療后1~6個月內持續。
- 治療后1、3和6個月,mMRC值從治療前的1.0顯著下降為0.0(p<0.05)。
- 同樣,CAT評分也從治療前的10.05顯著下降為治療后1個月的6.5、治療后3個月的4.0和治療后6個月的2.0(p<0.05)。COPD發作次數從治療前的2次顯著減少為治療后6個月的0(p<0.05)。

2.C期和D期患者的療效評估
- 圖7和表4顯示了結果,表明UC-MSC移植對D期COPD患者的治療效果優于C期COPD患者。
- D期COPD患者治療3個月后mMRC、CAT值較治療前明顯改善,治療6個月后FEV1、CAT評分、發作次數較治療前明顯改善(P<0.05)。
- 6個月后兩組CRP值較治療前均下降約40%。


安全性評估:UC-MSC輸注耐受性良好,所有患者在研究或藥物輸注過程中均未觀察到嚴重或臨床顯著的不良事件。

綜上所述,未發生與UC-MSC給藥相關的輸注毒性、死亡或嚴重不良事件。接受UC-MSC移植的患者的改良醫學研究委員會評分、COPD評估測試和加重次數均顯著降低。
結論:系統性UC-MSC治療對中度至重度COPD患者似乎是安全的,可以顯著改善他們的生活質量,并為后續的細胞治療研究提供基礎。
干細胞治療慢性阻塞性肺病的臨床研究進展
截止2024年9月5日,在美國國立衛生研究院的最大臨床試驗注冊庫clinicaltrials.gov網站上注冊的有關干細胞治療慢性阻塞性肺病的臨床研究項目有24項,已完成的有8項。

結論
臨床研究結果顯示干細胞治療慢性阻塞性肺病是具有臨床價值的,能夠減少氣道和肺組織的慢性炎癥并且分化為肺泡和氣道細胞,有助于修復受損的肺組織,減少肺氣腫和肺纖維化。
盡管干細胞治療總體上安全,仍存在一些潛在風險,例如,低熱和頭暈和輕微不適反應。因此,患者在接受干細胞治療前需要進行詳細的檢查和評估,并在專業醫生的指導下進行治療。
隨著研究的深入和技術的成熟,我們期待干細胞治療能夠在慢性阻塞性肺病治療中發揮更大的作用。
【1】Daniel J. Weiss, Richard Casaburi, Robin Flannery, Michelle LeRoux-Williams, Donald P. Tashkin,
A Placebo-Controlled, Randomized Trial of Mesenchymal Stem Cells in COPD,Chest,Volume 143, Issue 6,2013,Pages 1590-1598,ISSN 0012-3692,https://doi.org/10.1378/chest.12-2094.【2】林亞卿,黃芳,賴清泉,等.干細胞移植治療慢性阻塞性肺疾病的臨床研究[J].海峽藥學,2015,27(09):131-133.
【3】J. Stolk, W. Broekman, T. Mauad, J.J. Zwaginga, H. Roelofs, W.E. Fibbe, J. Oostendorp, I. Bajema, M.I.M. Versteegh, C. Taube, P.S. Hiemstra, A phase I study for intravenous autologous mesenchymal stromal cell administration to patients with severe emphysema, QJM: An International Journal of Medicine, Volume 109, Issue 5, May 2016, Pages 331–336, https://doi.org/10.1093/qjmed/hcw001
【4】Le Thi Bich, P., Nguyen Thi, H., Dang Ngo Chau, H. et al. Allogeneic umbilical cord-derived mesenchymal stem cell transplantation for treating chronic obstructive pulmonary disease: a pilot clinical study. Stem Cell Res Ther 11, 60 (2020). https://doi.org/10.1186/s13287-020-1583-4
免責說明:本文僅用于傳播科普知識,分享行業觀點,不構成任何臨床診斷建議!杭吉干細胞所發布的信息不能替代醫生或藥劑師的專業建議。如有版權等疑問,請隨時聯系我。
版權說明:本文來自杭吉干細胞科技內容團隊,歡迎個人轉發至朋友圈,謝絕媒體或機構未經授權以任何形式轉載至其他平臺,轉載授權請在網站后臺下方留言獲取。
掃碼添加官方微信